Máy biến dòng điện là gì? cấu tạo, công dụng và các loại máy biến dòng hiện nay
Máy biến dòng là một thiết bị không thể thiếu trong các hệ thống điện, dùng để đo lường và điều chỉnh dòng điện trong các ứng dụng công nghiệp, dân dụng và năng lượng.
Vậy máy biến dòng điện là gì, chúng hoạt động như thế nào và có những loại nào trên thị trường hiện nay? Cùng Vũ Nguyên JSC tìm hiểu chi tiết về cấu tạo, công dụng và cách chọn máy biến dòng đúng ngay trong bài viết này.

Máy biến dòng điện là gì?
Biến dòng hay còn gọi máy biến dòng điện là một thiết bị điện được sử dụng để chuyển đổi dòng điện lớn (dòng điện tải) thành dòng điện nhỏ (dòng điện đo lường) để dễ dàng giám sát, điều khiển và bảo vệ các thiết bị điện trong hệ thống.
Máy biến dòng giúp cung cấp tín hiệu an toàn cho các đồng hồ đo, hệ thống bảo vệ quá tải và các thiết bị điều khiển tự động trong hệ thống điện.
Trong tiếng Anh, máy biến dòng điện được gọi là Current Transformer (CT). Đây là thuật ngữ kỹ thuật thường được sử dụng trong các tài liệu quốc tế về điện và tự động hóa.
Ký hiệu của máy biến dòng: Trong mạch điện, biến dòng thường được ký hiệu là CT
Cấu tạo máy biến dòng điện

Các bộ phận chính của máy biến dòng
-
Dòng điện sơ cấp (Primary Current): Đây là dòng điện chính đi qua cuộn dây sơ cấp, thường là dòng điện tải cần được đo lường hoặc điều khiển.
-
Cuộn dây thứ cấp (Secondary Winding): Cuộn dây thứ cấp nhận tín hiệu từ cuộn sơ cấp và chuyển đổi dòng điện thành giá trị nhỏ hơn, phù hợp với các thiết bị đo lường và bảo vệ.
-
Đồng hồ đo dòng (Ammeter): Thiết bị này được kết nối với cuộn dây thứ cấp để đo dòng điện đã được chuyển đổi, giúp xác định mức độ dòng điện chạy qua mạch.
-
Lõi rỗng (Hollow Core): Lõi thép hoặc vật liệu dẫn từ được thiết kế dưới dạng rỗng, cho phép dòng điện sơ cấp đi qua, tạo ra từ trường và giúp truyền tín hiệu đến cuộn dây thứ cấp.
Thông số máy biến dòng điện
Các thông số cơ bản của máy biến dòng:
Hiện nay, hầu hết các máy biến dòng đều sử dụng các thông số tiêu chuẩn phổ biến như 5 ampe (5A) và 1 ampe (1A). Những thông số này thường được ghi trên máy biến dòng dưới dạng CT: 100/5A, 100/1A hay 500/5A.
- Thông số 100/5A có nghĩa là khi dòng điện 100 ampe chạy qua cuộn sơ cấp của máy biến dòng, thì dòng điện trong cuộn thứ cấp sẽ được chuyển đổi thành 5 ampe (5A).
- Tương tự, với thông số 500/5A, khi dòng điện 500 ampe chạy qua cuộn sơ cấp, cuộn thứ cấp sẽ cho ra dòng điện 5 ampe (5A).
Các thông số này giúp xác định tỷ lệ chuyển đổi dòng điện giữa cuộn sơ cấp và thứ cấp. Song song đó là đảm bảo máy biến dòng điện hoạt động hiệu quả trong các ứng dụng đo lường và bảo vệ.
Nguyên lý hoạt động của máy biến dòng
Máy biến dòng hoạt động dựa trên hiện tượng cảm ứng điện từ. Khi dòng điện xoay chiều chạy qua 1 dây dẫn, nó tạo ra một điện trường xung quanh. Điện trường này sẽ cảm ứng vào cuộn dây, khiến một dòng điện xuất hiện trong cuộn dây thứ cấp.
Tỷ lệ dòng điện trong cuộn thứ cấp được xác định bởi số vòng dây quấn trong cuộn dây.

Chế độ làm việc của biến dòng:
Máy biến dòng hoạt động theo hai chế độ cơ bản: chế độ hở mạch và chế độ ngắn mạch.
- Chế độ hở mạch thứ cấp: Khi cuộn thứ cấp không có tải (hở mạch), điện áp cảm ứng trong cuộn thứ cấp có thể đạt biên độ rất cao, gây nguy hiểm cho con người và thiết bị. Để tránh tình trạng bão hòa từ, các máy biến dòng tuyến tính (có khe hở không khí) được thiết kế để đảm bảo an toàn trong quá trình hoạt động của thiết bị.
- Chế độ ngắn mạch của dòng sơ cấp: Khi cuộn sơ cấp có tải, tỷ số giữa dòng ngắn mạch sơ cấp và dòng định mức của máy biến dòng được gọi là bội số dòng. Khi bội số này lớn, sai số của máy biến dòng cũng tăng lên. Sai số này còn phụ thuộc vào tải và dòng thứ cấp. Đối với các mạch bảo vệ, bội số dòng điện của CT cần đảm bảo rằng sai số không vượt quá 10% để đảm bảo tính chính xác trong bảo vệ hệ thống.
Tỷ số biến dòng điện tỷ lệ nghịch với số vòng dây quấy. Chính vì vậy, có thể thay đổi tỷ số biến dòng bằng cách thay đổi số vòng dây quấn phía sơ cấp hoặc thứ cấp sao cho phù hợp với nhu cầu sử dụng.
Công dụng của máy biến dòng điện
Máy biến dòng điện có vai trò rất quan trọng trong các hệ thống điện, dưới đây là những công dụng chính:
1. Đo lường dòng điện
Máy biến dòng được sử dụng phổ biến trong việc đo lường dòng điện trong các hệ thống điện. Nhờ vào tỉ số biến dòng, máy biến dòng giúp hạ thấp dòng điện từ mức lớn (sơ cấp) xuống mức nhỏ (thứ cấp), giúp dễ dàng đo lường và kiểm tra dòng điện mà không làm gián đoạn hoạt động của thiết bị.
2. Chuyển đổi tín hiệu
Biến dòng giúp chuyển đổi tín hiệu điện thành các tín hiệu có thể đo được, phục vụ cho các thiết bị giám sát và điều khiển. Việc này rất quan trọng trong việc giám sát và điều khiển hệ thống điện từ xa, giúp người vận hàng hệ thống dễ dàng theo dõi tình trạng thực tế mà không phải tiếp xúc trực tiếp với các mạch điện khi có dòng điện cao.
3. Bảo vệ mạch điện
Máy biến dòng điện kết hợp cùng với các thiết bị bảo vệ khác như rơ le bảo vệ quá dòng, giúp phát hiện và ngắt mạch khi dòng điện vượt quá mức cho phép. Đảm bảo an toàn cho hệ thống đện, giúp các thiết bị trong hệ thống điện tránh được hư hỏng và giảm nguy cơ cháy nổ.
4. Đo lường và giám sát dòng điện
Máy biến dòng điện cũng được sử dụng trong việc giám sát và quản lý hiệu suất năng lượng trong các hệ thống điện lớn, đặc biệt là trong các tòa nhà, nhà máy sản xuất, và các trạm biến áp.
Bằng cách đo lường dòng điện tiêu thụ của các thiết bị hoặc mạch điện. Người vận hành có thể phân tích hiệu quả sử dụng, tìm kiếm các khu vực tiêu thụ năng lượng chưa hợp lý, từ đó đưa ra các giải pháp tiết kiệm năng lượng và giảm thiểu chi phí.
5. Ứng dụng trong hệ thống tự động hóa
Biến dòng được ứng dụng trong các hệ thống tự động hóa và điều khiển trong các ngành công nghiệp. Ví dụ như:
- Trong nhà máy sản xuất, máy biến dòng điện đóng vai trò là nguồn cấp dữ liệu dòng điện cho các hiện thống điều khiển tự động như PLC, SCADA, hoặc DCS.
Các loại máy biến dòng hiện nay
Máy biến dòng dạng dây quấn

Trong máy biến dòng dạng dây quấn, cuộn sơ cấp được kết nối trực tiếp với các dây dẫn trong mạch điện, giúp đo lường cường độ dòng điện chạy qua mạch. Cuộn thứ cấp của máy biến dòng sẽ tạo ra dòng điện phụ thuộc vào tỷ số vòng dây quấn giữa cuộn sơ cấp và cuộn thứ cấp.
Tỷ số này quyết định mức độ chuyển đổi giữa dòng điện trong cuộn sơ cấp và cuộn thứ cấp, từ đó ảnh hưởng trực tiếp đến kết quả đo lường và sự chính xác của máy biến dòng.
Máy biến dòng dạng vòng

Dòng máy này có thiết kế đặc biệt, trong đó cuộn sơ cấp không được cấu tạo như những loại máy biến dòng điện khác. Thay vào đó, dòng điện trong mạch sẽ chạy qua một khe cửa hoặc lỗ hổng của "vòng" máy biến dòng.
Điều này cho phép dòng điện từ mạch chạy trực tiếp qua mà không cần phải thay đổi cấu trúc của cuộn sơ cấp. Một số mẫu máy biến dòng dạng vòng hiện nay còn được trang bị chi tiết "chốt chẻ", cho phép người sử dụng mở, cài đặt và đóng lại khe cửa mà không cần ngắt mạch cố định, điều này giúp tiết kiệm thời gian và công sức trong việc lắp đặt và bảo trì.
Máy biến dòng dạng khối
Đây là 1 trong những loại được sử dụng phổ biến, đặc biệt là trong dây cáp và thanh cái của mạch điện chính. Máy biến dòng dạng khối có cấu tạo tương tự như cuộn sơ cấp nhưng chỉ sử dụng một vòng dây duy nhất.
Chúng được thiết kế để tách biệt hoàn toàn với nguồn điện áp cao trong mạch điện, đảm bảo an toàn trong quá trình vận hành. Máy biến dòng dạng khối luôn được kết nối với cường độ dòng điện tải của thiết bị điện, giúp đo lường và giám sát chính xác mức tiêu thụ dòng điện trong hệ thống.
Biến dòng đo lường
Với iến dòng đo lường (MCT) - Trong quá trình hoạt động, dòng điện trong cuộn thứ cấp của máy biến dòng sẽ đạt đến mức bão hòa khi dòng điện trong cuộn sơ cấp vượt quá mức định mức của thiết bị. Biến dòng đo lường thường được sử dụng cho các đồng hồ đo đếm, giúp theo dõi và ghi nhận mức tiêu thụ năng lượng trong các hệ thống điện.
Biến dòng bảo vệ
Biến dòng bảo vệ(PCT) có chức năng khác biệt hoàn toàn so với biến dòng đo lường. Khi có sự cố ở cuộn sơ cấp (ví dụ như ngắn mạch trên đường dây), dòng điện trong cuộn thứ cấp sẽ vượt xa mức định mức. Biến dòng này luôn được sử dụng cho relay bảo vệ.
Lưu ý: Tuyệt đối không sử dụng biến dòng đo lường cho relay bảo vệ và ngược lại, không sử dụng biến dòng bảo vệ cho đồng hồ đo lường.
Các loại biến dòng trong công nghiệp

Các loại máy biến dòng được sử dụng phổ biến trong ngành công nghiệp như:
- Biến dòng 4-20mA - đọc giá trị dòng điện sơ cấp, có thể kết nối trực tiếp với PLC.
- Biến dòng 1600/5A - phù hợp với các dụng cụ đo: Ampe mét, Wat mét, Công tơ điện…
- Biến dòng 125/5A - sử dụng trong hệ thống thiết bị có công suất nhỏ dòng điện từ 0 - 125 Ampe.
- Biến dòng 500/5A - phù hợp với nhà máy có hệ thống dòng diện từ 0-500 Ampe.Ví dụ: nhà máy sản xuất nhựa, các loại máy CNC, hay trong các trạm biến thế, …
Cách chọn máy biến dòng CT
Để lựa chọn máy biến dòng CT (Current Transformer) chính xác, người dùng cần có kiến thức cơ bản về dòng tải điện, đặc biệt là dòng điện lớn nhất có thể đi qua biến dòng trong hệ thống.
Đầu tiên, cần xác định dòng tải lớn nhất mà biến dòng sẽ đo. Sau khi biết giá trị này, bạn cần chọn máy biến dòng có giá trị dòng điện cao hơn hoặc bằng giá trị thực tế mà dòng điện đi qua biến dòng.
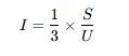
Công thức tính biến dòng
Cường độ dòng điện đi qua máy biến dòng CT có thể được tính theo công thức sau:

Trong đó:
- S là công suất toàn phần, trong đó S = P (công suất thực tế), có thể chia cho hệ số công suất để có giá trị đúng. Nếu cần, có thể sử dụng tụ bù để cải thiện hệ số công suất và tối ưu hiệu suất hệ thống.
- U là hiệu điện thế đi qua biến dòng CT, thể hiện sự chênh lệch điện áp giữa các điểm trong mạch.
Máy biến dòng điện (CT) đóng vai trò quan trọng trong việc đo lường và bảo vệ các hệ thống điện, đặc biệt trong công nghiệp và tự động hóa. Việc lựa chọn biến dòng phù hợp không chỉ phụ thuộc vào công suất và hiệu điện thế mà còn yêu cầu người dùng phải hiểu rõ về dòng tải điện và các đặc tính kỹ thuật của thiết bị.
Hy vọng rằng bài viết này, Vũ Nguyên JSC giúp bạn giải đáp thắc mắc về máy biến dòng điện là gì, đồng thời cung cấp thông tin hữu ích trong việc lựa chọn và sử dụng máy biến dòng đúng cách để tối ưu hóa hiệu suất và an toàn cho hệ thống điện.
Các dòng sản phẩm liên quan:
Bộ chuyển đổi, điều chỉnh tuyến tính Murrelektronik NT 3 AC-DC/DC 85660
Bộ chuyển mạch có quản lý Murrelektronik TREE M-5TX PN IP67
Bộ chuyển đổi chế độ Murrelektronik MDD DC/DC 85658